免费评估 在线沟通 电话咨询

News

VALEON  |   活动资讯  |  资讯中心  |   留学热点  |   正文

美国大使馆披露4-8月F1签证数:发放量继续保持增长

31 Oct 2019 · VALEON

  在10月20日举办的中国国际教育展上,美国驻华大使馆发布了一条让希望留学美国的学子振奋人心的消息——关于最新的签证发放信息:2019年4月-8月,美国向中国签发的学生签证(F1签证)不减反增,总计89179张,比去年同期多出5869张。

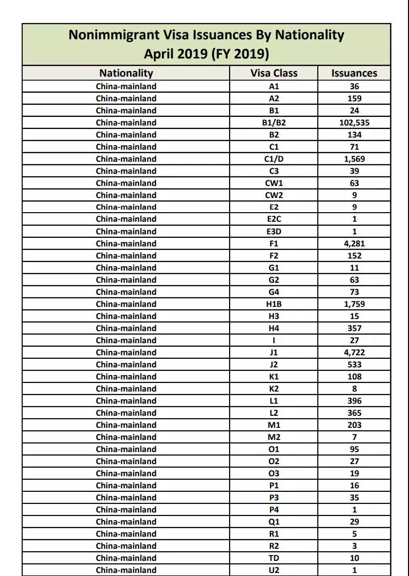
  今年4月份,美国领事馆官网上公布的2019年4月F1签证发放数4281,较2018年4月同比上升15.7%。

640.jpg

  而在10月初,美国负责学术项目的副助理国务卿卡罗琳·卡萨格兰迪(Caroline Casagrande)也正面回复了关于“美国政府刻意拒签中国学生”的传言,她表示:“现在,我在中国收到很多有关学生签证问题。我想就现在澄清这些问题。绝大多数学生签证都得到了批准。实际上,在过去五年中,中国学生签证拒签数量每年都在下降。我们欢迎中国学生进入我们的大学和学院。目前有超过30万中国学生正在美国留学。我此次访问中国的院校,与高中指导顾问会面,与招生人员会面,以确保我们有最优秀最聪明的中国学生前往美国留学。”

  Now I get a lot of questions in China about student visas. And I want to clear those up right now. The vast majority of student visas are granted. In fact, every year for the last five years, the number of student visa rejections has gone down here in China. We welcome Chinese students to our universities and colleges. There are over 300,000 Chinese students studying in America right now. And I am here meeting with colleges, meeting with high school guidance counselors, meeting with recruiters to make sure that we continue to have the best and brightest of Chinese students in our American classrooms.

  就连美国总统特朗普在白宫会见刘副总理时也表示,他非常希望中国学生可以选择就读美国高校,他说:“我们有来自中国的不可思议的人才”,他想要“世界上最棒的(中国)人才进入美国大学。”

  由此看来,虽然今年关于中美两个关系出现各种情况,令很多欲赴美留学的学生和家长新生疑虑,但从签证结果、美国高校和美国政府官方的声音来看,美国还是非常欢迎中国学生去美国的学校学习深造的。

  更多留学资讯及海外时事,请点击关注再来人留学,可以信赖的高端留学机构。

没有更多了

留学问题免费答疑

提交成功

VALEON福利:扫码进群,
免费评估!